1.2014年父亲、母亲的年龄之和是年龄之差的23倍,年龄之差是儿子年龄的1/5,5年后母亲和儿子的年龄都是平方数。问2014年父亲的年龄是多少( )(年龄都按整数计算)
A.36
B.40
C.44
D.48
2.某商店10月1日开业后,每天的营业额均以100元的 速度上涨,已知该月15号这一天的营业额为5000元,问该商店10月份的总营业额为多少元( )
A.163100
B.158100
C.155000
D.150000
3.某企业原有职工110人,其中技术人员是非技术人员的10倍,今年招聘后,两类人员的人数之比未变,且现有职工中技术人员比非技术人员多153人。问今年新招非技术人员多少名( )
A.7
B.8
C.9
D.10
4.某地居民用水价格分二级阶梯,户年用水量在0~180(含)吨的水价5元/吨;180吨以上的水价7元/吨。户内人口在5人以上的,每多1人,阶梯水量标准增加30吨。老张家5人,老李家6人,去年用水量都是210吨。问老李家得问人均水费比老张家少约多少元( )
A.12
B.35
C.47
D.60
5.A工程队的效率是B工程队的2倍,某工程交给两队共同完成需要6天。如果两队的工作效率均提高一倍,且B对中途休息了一天,问要保证工程按原来的时间完成,A队中途最多可以休息几天( )
A.4
B.3
C.2
D.1
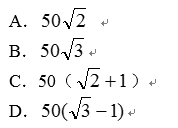
6.老王围着边长为50米的正六边形的草地跑步,他从某个角点出发,跑了500米之后,距离出发点相距有多远( )
7.某种商品原价25元,每半天可销售20个。现知道每降价1元,销量即增加5个。某日上午将该商品八折,下午在上午价格的基础上在打八折出售,问其全天销售额为多少元( )
A.1760
B.1940
C.2160
D.2560
答案:
1.【解析】D。设2014年父亲年龄为x,母亲年龄为y,则有x y=23(x-y),得11x=12y,x能被12整除,排除B、C。代入A项,y=33,5年后目前年龄为38岁,不是平方数,排除,故选D。
2.【解析】B。10月共31天,10月16日的营业额为5000 100=5100元,根据等差数列的规律。则该商店10月份的总营业额为5100×31=158100元,B项正确。
3.【解析】A。依题意知,原有非技术人员110÷(1 10)=10人,现有技术人员是非技术人员的10倍,即多9倍,多153人,则现有非技术人员153÷9=17人,故今年新招非技术人员17-10=7人。
4.【解析】C。老李家的人均水费为210×5÷6=175元,老张家的人均水费为(180×5 30×7)÷5=222元,则所求为222-175=47元,C项正确。
5.【解析】A。设B工程队的效率为1,A工程队的效率为2,则总工作量为(1 2)×6=18。按原来的时间完成,B队完成了1×2×(6-1)=10,则A工程队需要工作(18-10)÷(2×2)=2天,所求为6-2=4天。A项当选。
7.【解析】C。根据题意,上午的售价为25×0.8=20元,销量为20 5×5=45个,下午的售价为20×0.8=16元,销量为45 4×5=65个,全天的销售额为20×45 16×65=1940元。


