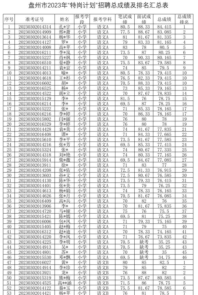
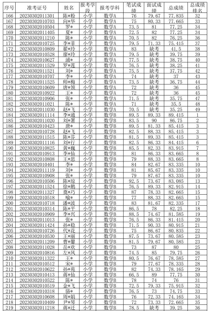
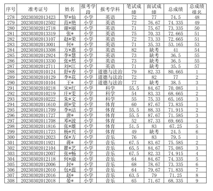
盘州市2023年“特岗计划”招聘面试工作已结束,现将总成绩及排名予以公示,公示期为3天:2023年7月26日至2023年7月28日。
公示结束后将及时发布进入体检、政审人员名单,请考生密切关注盘州市人民政府网或“盘州教育宣传”微信公众号,提前做好相应准备,如因考生未阅读公告等自身原因导致未能参加体检的,产生的一切后果由考生自负。
联系电话:0858--3632722
附件:盘州市2023年“特岗计划”招聘总成绩及排名汇总表.pdf










盘州市2023年“特岗计划”招聘面试工作已结束,现将总成绩及排名予以公示,公示期为3天:2023年7月26日至2023年7月28日。
公示结束后将及时发布进入体检、政审人员名单,请考生密切关注盘州市人民政府网或“盘州教育宣传”微信公众号,提前做好相应准备,如因考生未阅读公告等自身原因导致未能参加体检的,产生的一切后果由考生自负。
联系电话:0858--3632722
附件:盘州市2023年“特岗计划”招聘总成绩及排名汇总表.pdf









