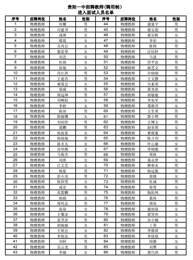
贵阳一中本次招聘教师(聘用制)投递简历已结束,现将进入面试环节人员名单公布如下,请进入面试人员于2023年12月22日18:00前加入QQ群:545052637,备注“应聘岗位+姓名”,面试通知将在群内发布,未能及时加群的视为自动放弃。
咨询电话:0851-88409434(贵阳一中人事办公室)



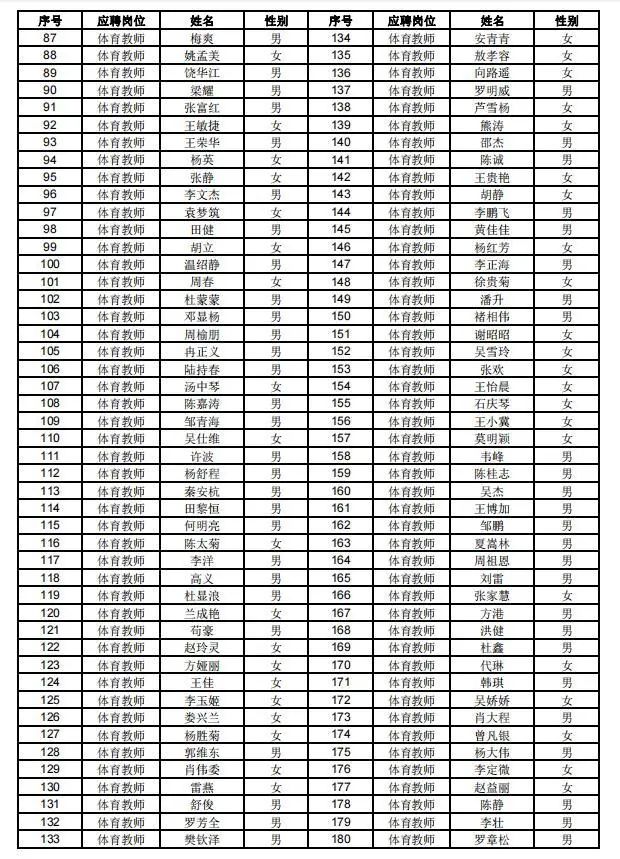
贵阳一中本次招聘教师(聘用制)投递简历已结束,现将进入面试环节人员名单公布如下,请进入面试人员于2023年12月22日18:00前加入QQ群:545052637,备注“应聘岗位+姓名”,面试通知将在群内发布,未能及时加群的视为自动放弃。
咨询电话:0851-88409434(贵阳一中人事办公室)


